Datos: cuánto personal asignado tiene cada senador nacional
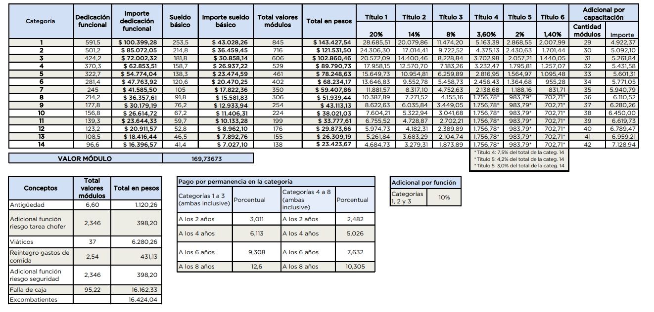
La crisis económica será uno de los ejes del discurso de Alberto Fernández en el Congreso de la Nación, constituido por Diputados y el Senado: sólo en la cámara alta trabajan 5.061 personas (2.686 en planta permanente, 2.196 en planta transitoria y 178 contratos de locación). La planilla de escala salarial indica 14 categorías y el suelo en mano de cada senador alcanza los 143,4 mil pesos. Y a eso hay que agregarle los adicionales, como lo muestra la siguiente planilla:
El total de personal asignado a los tres de Mendoza es 73 (33 a Fernández Sagasti, 19 a Verasay y 21 a Cobos).


Personal asignado por senador nacional

Completá el recorrido ingresando al informe interactivo:
Enlace para acceder al archivo excel con los datos y enlace para acceder a la fuente de los datos.






















































